New Delhi: At around 8:30pm Sunday, 5 January, about 50-60 masked and armed attackers were still on a rampage inside the Jawaharlal Nehru University campus in Delhi, beating up students and teachers, and damaging property.
A clip of JNU Students’ Union president Aishe Ghosh — her head bleeding — was all over television news channels and social media platforms, showing the world that one of India’s premier educational institutions was under assault.
Over 500 policemen were stationed outside the North Gate of the campus at the time. But at the Vasant Kunj police station, not more than a kilometre from the campus, their colleagues were filing two FIRs against Ghosh and 18 others for alleged vandalism over the previous two days.
The FIRs show that the JNU administration filed complaints against Ghosh and other students belonging to Left parties exactly when the armed assailants were running amok at the campus.
The first FIR, pertaining to an incident of “vandalism” at the administrative block at 1 pm on 3 January, was filed at 8:44 pm Sunday. The police record states that the complaint was “received at the police station” at 8:39 pm.
The second FIR, against Ghosh and 18 others, pertaining to manhandling of guards and disrupting the registration process for the new JNU semester on 4 January, was registered at 8:49 pm on 5 January. The record states that this complaint too came to the police at 8:43 pm on 5 January.
Also read: JNU violence: Student bodies turning as intolerant, confrontational as national politics?
Police disputes printed record
However, a senior police officer contradicted the information mentioned on the FIRs, saying the first one was filed at 1 pm, while the second was filed at 8:43 pm Sunday. The officer also clarified that the JNU administration had handed over the first complaint on 3 January at 10 pm, and the other on the night of 4 January.
“While JNU gave us the complaints on the day of the incident (3 and 4 January) we registered the cases only on 5 January, after we verified the allegations. While one case against Ghosh and other Left students was registered at 1 pm, the other was registered around 8 pm,” the officer said.
Asked why the FIRs mentioned the date of “information received at police station” as 5 January, the officer said the “computer system may have taken the date on which we were registering the case erroneously”.
FIR number 3: ‘Students wearing masks vandalised admin unit’
FIR number 3, registered on 5 January, pertains to the incident of violence and vandalism reported from JNU on 3 January.

The FIR names Ghosh and six others, and states that around 1 pm, a group of students wearing masks forcibly entered the office of the Centre for Information System located in a building near JNU’s Administration Block, switched off the power supply, evicted all the technical staff working there, and “made the servers dysfunctional”.
“They obstructed and stopped the public servants from doing their duties, pushed threatened, abused and chased the staff out of the office and server room. This is a clear cut case of vandalisation of an administrative unit of the university that houses all technical equipment related to communication and information systems of the university,” the FIR reads.
It adds, “As a result the entire registration process and official processes the above has severely affected. The students registration system and other dependent services including online payment gateway, result processing software etc too has been affected.”
The FIR also states that the internet services, all e-governance applications, biometric attendance, complete data centre services supporting general ICT operations of the university, including the JNU private cloud high performance computing system, were also affected due to these students.
Also read: Teaching, activism and politics — what former JNUSU presidents are doing now
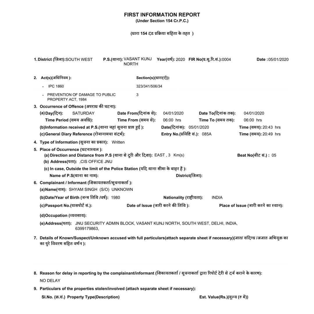
FIR number 4: ‘Students beat guards who tried to resume CIS operations, damaged property’
FIR number 4, registered on 5 January at 8:49 pm, pertains to the incident reported on 4 January.

This FIR names Ghosh and 18 others, and says the students indulged in violence when the administration tried to open the CIS office, which had been locked down by the students protesting against the hostel fee hike.
“The CIS office was closed down during the whole night of 3 and 4 January since the entire registration process was halted due to the lock down,” the FIR says.
“An effort was made by the CIS staff with the help pf JNU guards to open the office at 6 am in the morning of 4th January. At this time, the following indulged in physical violence, pushed the lady guards, verbally abused them and threatened them with dire consequences, if they would open the lock of the CIS office,” it says.
The FIR adds that a few of the security guards were beaten up by the agitating students and were injured.
“A few CIS staff managed to enter the office and restored the information system which had been shut down by agitating students the previous day,” it states.
The FIR adds that a large mob then gathered to prevent the public servants from doing their duty.
“After some time, a large number of student agitators entered the office, abused the staff and forced them out of the office preventing the public servants from performing their official duties,” it says.
The FIR then quotes a security report to allege that a group of student agitators again entered the CIS office from the back door by breaking open the glass door.
“At 1 pm, as per security report, a group of student agitators entered the CIS office from the back door by breaking open the glass door. They illegally trespassed the university property with the criminal intention to damage to the public property. Once inside, they damaged the servers and made them dysfunctional and severely damaged the fibre optic cables, power supplies, and broke the biometric systems inside the room,” the FIR states.
Also read: In Modi’s opposition-mukt India, JNU must remain the Eternal Protester


There would be great wisdom in Delhi Police not pursuing this case against President Aishe Ghosh. Not compound what has already brought them so much opprobrium.