Germany’s invasion of Poland on 1 September, 1939 marked the start of World War II (WWII). Less well-known is that on 3 September 1939, the British Viceroy of India, Lord Linlithgow, announced India’s entry into war against Germany – without consulting any Indian political leaders (Raghavan 2017). As a British colony, India became a crucial supplier of war material, with total wartime procurement amounting to nearly one-sixth of India’s 1938 GDP (gross domestic product). This constituted the last major intervention of the British Raj in the Indian economy.
Historians have long debated whether WWII stimulated or disrupted India’s industrial growth. Some argue that the war accelerated Indian industrialisation by creating demand for war-related goods and fostering technological upgrading (Morris 1983, Roy 2016). Others believe that the benefits were short-lived, as the British primarily extracted resources for their own war effort (Tomlinson 1996, Kamtekar 2002). In a new study (Parvathaneni and Yang 2024), we systematically analyse the long-run effects of WWII mobilisation on the structural transformation and modern development of Indian districts.
Wartime mobilisation policies resemble industrial policies, aiming to shift production toward strategic sectors. While not perfectly analogous, studying the effects of WWII mobilisation in India offers valuable insights into the potential impacts of large-scale industrial policy interventions today. Both involve government efforts to shape the industrial structure of the economy, focusing on rapid development of key sectors. Government procurement serves as a key policy lever in both cases, often complemented by subsidies, capital investments, and knowledge transfer initiatives. The mobilisation in India during WWII prioritised heavy industry and munitions – similar to how modern industrial policies target high-tech or advanced manufacturing sectors. It involved developing new industrial capabilities, overcoming coordination problems, and facilitating technology transfer – challenges that industrial policymakers continue to face today.
Since the early days of development economics, scholars have highlighted the potential for industrial policy to promote structural transformation from agriculture to industry (Rosenstein-Rodan 1943). Industrial policy has been credited with driving economic development in several East Asian countries, such as South Korea and Taiwan (Amsden 1989, Wade 1990, Rodrik 1995). However, other scholars argue that industrial policy has been ineffective or even detrimental (Baldwin 1969, Beason and Weinstein 1996, Lederman and Maloney 2012).
We contribute to an emerging literature that exploits historical natural experiments to understand the impacts of industrial policy. Recent studies include empirical analyses of the South Korean 1970s heavy and chemical industry drive (Liu 2019, Choi and Levchenko 2021, Kim et al. 2021, Lane, forthcoming), Finnish World War II reparations (Mitrunen 2025), import trade protection in France (Juhasz 2018), temporary input cost advantages in British shipbuilding (Hanlon 2020), as well as historical industrial plant establishment in China (Fan and Zou 2021, Heblich et al. 2022, Bo et al. 2023).
Empirical strategy
To estimate the causal impact of wartime mobilisation on structural transformation of Indian districts, we employ a ‘shift-share approach’ (following Borusyak et al. 2022) that exploits district-level variation in British colonial government procurement across industries.
The intuition for the shift-share strategy is as follows: British wartime procurement varied across
industries, with some industries (for example, munitions) experiencing very high demand, some (for example, footwear) seeing intermediate levels of demand, and others low or zero wartime demand (for example, musical instruments, jewelry, pottery). Indian districts also varied in the pre-war presence of different industries, as measured by the distribution of a district’s employment across industries. Some had relatively high shares of employment in industries that experienced war-related demand, such as munitions and footwear, while other districts had low such shares. Districts with higher pre-war employment shares in war-related industries should have experienced higher increases in demand (on a per worker basis) due to war procurement. Our approach involves constructing a shift-share variable that predicts the Indian rupee value of orders per worker in a district. The spatial distribution of the predicted war-related procurement per worker is shown in Figure 1.
Figure 1. Spatial variation in predicted war procurement

Data
We use two innovative sources of data. First, we leverage a unique tabulation of procurement of WWII material in India by the British colonial government, which provides the total rupee value of approximately 384 distinct procured products (Aggarwal 1947). Second, we digitised historical district-level economic structure data from Indian Censuses from 1911 to 1981, which previously were not available in electronic form. With district-level employment at the detailed occupation level from the pre-war Census and product-level war procurement from Aggarwal (1947), we construct our key shift-share variable. The Census data provide information on key outcome variables like structural transformation from agriculture to the modern (industry and service) sectors.
Also read: Doesn’t matter what war, we won’t take part in it unless we’ve to defend ourselves: Nehru
Key findings
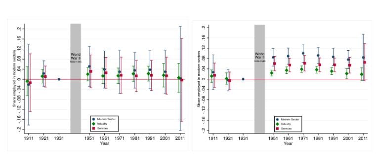
We find that WWII procurement had a lasting impact on structural transformation. More than six decades after the war, we find that one standard-deviation increase in orders per worker led to 6.5 percentage points higher share of employment in modern sectors. These results are robust to controlling for time trends associated with a host of factors – pre-war economic structure, type of colonial administration, number of pre-colonial conflicts, geographical factors, and military participation. Figure 2 shows that these effects emerge as early as 1951 and persist for over 60 years. Importantly, we do not find evidence of pre-trends in 1911 and 1921, implying that the war orders were not disproportionately allocated to districts already on an accelerated path to industrialisation.
Figure 2. Impacts of war procurement on employment in industry and services

Next, we examine whether districts that received higher war orders experienced stronger gains in industry or services. Although most procurement was industrial in nature, we find substantial effects on service sector employment. To investigate cross-sector spillovers we run analogous analyses with an alternate shift-share that excludes war-procurement in non-industrial sectors – services and agriculture, which account for 1.5% and 2.5% of war procurement respectively. The goal of this exercise is to isolate the impact of industry-only war procurement on service sector employment. The results, shown in Figure 3, confirm significant spillover effects from industrial wartime procurement to the service sector.
Figure 3. Impacts of industry-only shift-share

Using data from the 2011 Indian Census, we further find that consumer services (that is, household demand for services) show the largest response to war procurement. These results are consistent with theoretical models such as Murphy et al. (1989). One of the mechanisms in these models operates via worker purchasing power.
The underlying idea is that it is not profitable for any single firm in the economy to upgrade to a better technology. However, when firms coordinate to invest at the same time and upgrade, aggregate workers’ wages and therefore purchasing power rises, fueling demand for goods and services in the economy. This sustains a higher industrialisation equilibrium and is associated with higher employment in the modern sectors. In the setting of our study, war procurement could have incentivised multiple firms (either via government investment reducing fixed costs of upgrading, or war procurement increasing market size) to invest and solve the coordination problem.
We also analyse whether structural transformation was primarily driven by procurement in heavy or light industries. Separate analyses of war procurement in heavy (vehicles, munitions, engineering stores, chemical products) versus light industries (clothing, textiles, footwear, food products) indicate that heavy industry procurement was the primary driver of long-term structural change (Figure 4).
Figure 4. Impacts of light industry shift-share (left panel) and heavy industry shift-share (right panel)

Finally, we turn to ‘cross-sectional’ analysis as information on these outcomes is only available in the post-war periods. We find that districts that received higher orders per worker during WWII experienced higher rates of urbanisation in 2011 and higher consumption-per capita in 2012. These results are also apparent from outer space: districts that received higher orders have brighter nighttime lights as observed by satellites. All these results further bolster the long-run positive effects of WWII procurement on districts.
Policy implications
These findings deepen our understanding of the economic consequences of mobilising for war. Just as wartime procurement shaped India’s post-independence industrial trajectory, strategic industrial policies today – such as incentives for clean energy, semiconductors, or defense manufacturing – could have persistent effects on economic structure.
While modern industrial policy differs from wartime mobilisation, both rely on State-led efforts to shape production structures, develop strategic sectors, and facilitate technological upgrading. These historical lessons are particularly relevant for developing countries considering ambitious industrial policies today.
Conclusion
India’s experience during World War II demonstrates that temporary economic shocks can have long-lasting effects on structural transformation. Wartime procurement catalysed industrial and service sector growth, with effects still visible decades later. These findings suggest that well-designed industrial policies, even if initially driven by external shocks, can create sustained economic change. As policymakers look to reshape economies in the face of technological shifts and global competition, historical insights from wartime mobilisation remain highly relevant.
This article was originally published on the Ideas For India website.
Aneesha Parvathaneni is a Ph.D. candidate in the Department of Economics at University of Michigan. Dean Yang is a development economist at the University of Michigan, where he is a Professor in the Department of Economics, Professor at the Ford School of Public Policy, and Research Professor at the Population Studies Center (Institute for Social Research). Views are personal.

